• 专利申请
    2020-02-24
  • 公布公告
    2020-08-07
  • 授权日期
    2020-08-07
  • 终止
    2030-08-05
一种尿素传感器浮筒检测装置
一种尿素传感器浮筒检测装置
* 专利信息仅供参考,不具有法律效力。 有效专利
CN202020198741.6 2020-02-24 G01F25/00 {{ classMap["G01F25/00"] }}
天津卡尔瑞斯科技发展有限公司 查看申请人名下所有专利
天津市北辰区天津北辰经济技术开发区医药医疗器械工业园京福公路东侧优谷新科园97号厂房
专利分类项目
专利注册信息
初审公告期号 2020-02-24 初审公告日期 2020-08-07
注册公告期号 2020-08-07 注册公告日期 2020-08-07
专用权期限 2020-08-07 - 2030-08-05 专利类型 实用新型
代理组织机构 --
专利介绍
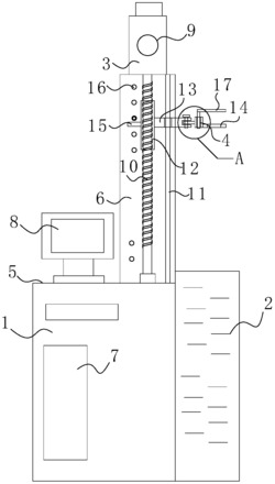
本实用新型提供了一种尿素传感器浮筒检测装置,涉及尿素传感器生产领域,包括箱型架体、定位机构以及丝杠机构,夹持单元分别卡入尿素传感器的两端,电子管通过外接端头与检测主机连接,此时电子管位于立板的凹槽内,推板组件位于箱型架体的左侧,浮筒位于推板组件之间,电机驱动丝杆转动,滑台带动推板组件向右匀速滑动,位于左侧的立板同步推动浮筒向右滑动,直至浮筒滑动至电子管的右端,电机反向驱动丝杆转动,位于右侧的立板向左侧反向推动浮筒,直至浮筒返回至原位,从而完成浮筒的周期运动,检测主机将显示浮筒滑动时的数值变化,进而实现成批高效检测尿素传感器的浮筒。
法律进度
  • 2023-08-18 专利权的转移 登记生效日: 2023.08.03 专利权人由天津卡尔瑞斯科技发展有限公司变更为天津合创新材料科技有限公司 地 ...

  • 2020-08-07 授权 ...

同类专利
  • 一种气体涡轮流量计的网络化在线校准系统

  • 一种涡轮流量计在线校准系统及校准方法

  • 一种用于测量旋进漩涡流量计精度的气液混合装置

  • 一种金属浮子流量计粘度校正装置及校正方法

  • 一种粘稠酱料流量自动检测系统及生产线

  • 一种尿素传感器精度检测装置

  • 一种油箱支架焊合件用检测装置

  • 用于大口径液体流量标准装置中的试验段管道排水装置

咨询该专利

您还可以
推荐专利
{{ v.name }}
取 消 确 定