• 专利申请
    2020-10-30
  • 公布公告
    2021-01-29
  • 授权日期
    2022-12-20
  • 终止
    2031-01-27
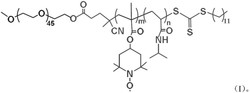
一种电荷翻转两亲嵌段共聚物、制备方法、前体聚合物、纳米胶束和应用
一种电荷翻转两亲嵌段共聚物、制备方法、前体聚合物、纳米胶束和应用
* 专利信息仅供参考,不具有法律效力。 有效专利
CN202011190151.X 2020-10-30 C08F293/00 {{ classMap["C08F293/00"] }}
金陵科技学院 查看申请人名下所有专利
江苏省南京市江宁区弘景大道99号
专利分类项目
专利注册信息
初审公告期号 2020-10-30 初审公告日期 2021-01-29
注册公告期号 2022-12-20 注册公告日期 2022-12-20
专用权期限 2021-01-29 - 2031-01-27 专利类型 发明公开
代理组织机构 南京知识律师事务所 查看该机构代理的所有专利
专利介绍
本发明公开了电荷翻转两亲嵌段共聚物,并提供了该共聚物的制备方法、前体聚合物、纳米胶束以及其在制备抗肿瘤药物制剂中的应用。本发明的两亲嵌段共聚物同时具有电荷翻转和还原响应性。
法律进度
  • 2022-12-20 授权 ...

  • 2021-02-23 实质审查的生效 IPC(主分类): C08F 293/00 专利申请号: 202011190151.X 申请日: 2020.1 ...

  • 2021-01-29 公开 ...

同类专利
  • 一种pH响应性动态壳交联聚合物纳米粒子及其制备方法

  • 一种pH响应型抗菌聚合物纳米颗粒及其制备方法

  • 两亲性嵌段聚合物、光和pH双重响应的聚合物复合型囊泡及其制备方法和应用

  • 多重响应的金络合四氧化三铁接枝嵌段共聚物杂化材料及其制备方法

  • 多重刺激响应的Fe3O4接枝共聚物杂合体及其制备方法和应用

  • 一种具有光和pH双重响应性的两嵌段共聚物及其制备方法

  • 一种附载TEMPO催化活性基团共混催化膜的制备方法

  • 一种梳状两亲性聚偏氟乙烯基嵌段共聚物及其应用

  • 温度-氧化还原双重刺激响应型聚合物及其制备方法与应用

  • 一种基于单臂TPE分子的温敏型双荧光Pdots的制备及应用

  • 一种烷基羟基嵌段聚合物改性的聚羧酸保坍剂及其制备方法

  • 一种苯基羟基复合ATRP法改性的聚羧酸保坍剂及其制备方法

咨询该专利

您还可以
推荐专利
{{ v.name }}
取 消 确 定